Relación entre la potencia y las conexiones serie/paralelo

  • 2
eliezer
por el 11/01/2010
Dos altavoces de 4 ohmios en serie resiltan en 8 ohmios de impedancia total.
Dos de 4 ohmios en paralelo dan 2 ohmios.
OFERTAS EN TIENDAS Ver todas
  • -70%
    AKG Ara
    19,9 €
    Ver oferta
  • -40%
    Sonicware SmplTrek
    299 €
    Ver oferta
  • -12%
    Zoom LiveTrak L-8
    366 €
    Ver oferta
SEGUNDA MANO EN MERCASONIC Ver todo
  • Microfonía inalámbrica doble - receptor 2 canales + 2 micrófonos de mano
    225 €
    Ver
  • Vendo controlador Solid State Logic SSL UF8
    750 €
    Ver
  • Behringer StageConnect P24 HUB
    390 €
    Ver
¿Tienes equipo que ya no usas? Véndelo en Mercasonic
Harpocrates666
por el 11/01/2010
elraton escribió:
Hola,porfavor,alguien podria hecharme una mano a encontrar material relacionado con este hilo?me refiero a k no se como es el calculo k hay k hacer para hallar la impedancia nominal...kisas no me este expresando bien lo explico de otra manera.
Savemos k la ley de Ohoms nos dice k si conectamos 2 resistencias identicas en paralelo la resistencia total efectiva sera exactamente la mitad del valor de c/una ...pero no llego a comprender muy bien esto.
¿Quiere decir esto que en 2 altavoces (ejmplo)de 4 ohmios conectados en paralelo me dara una impedancia de 4 ohmios? porfa,alguien podria explicarme la formula para calcular impedancia en paralelo y/o serie? por k lo tengo muy confundido,creo k seria algo asi como...4 +4=4 ohmios
(2)+(2)=4 ohmios
y en serie la impedancia se sumaria verdad? 4+4=8 ohmios
ES ASI ??????????? Tengo el presentimiento k no por eso espero por vuestras respuestas....GRACIAS Y SALU2


www.google.cl
Harpocrates666
por el 11/01/2010
Y para que veas lo facil que es te dejo el primer resultado que aperecio que me demore en encontrar 2 segundos (tomando el tiempo que me demore en escribir).

http://www.sapiensman.com/electrotecnia/problemas26.htm
Lowfrecuency
por el 11/01/2010
Hola.

Dos altavoces de 4ohm cada uno conectados en serie suman 8 ohmnios
Si los conectas en paralelo la impedancia se divide. La formula queda asi :arrow: 1/(1/4 + 1/4)= 2ohmnios
Lowfrecuency
por el 11/01/2010
vaya, no me di cuenta de que habia dos paginas en el hilo y conteste por enesima vez xDD
elraton
por el 11/01/2010
SIIIIIIIIIIIIIIIIIII por fin lo o comprender !!!!!!!!!
gracias gracias gracias y mil veces gracias........

bueno me voy a poner a prueba...aver si alguien me corrige porfa.

tengo dos impedancias de 4 ohmios + dos de 8 ohmios,las pongo en paralelo y la resultante es una impedancia total de 1,33 ohmios espero k este bien,por k si no,me voy a sentir muy pero k muy frustrado jajaja
espero valoracion de mis deveres....SALU2
elraton
por el 11/01/2010
Otro resultado k se me ocurrio con las mismas impedancias k en el caso anterior y kisiera saver si esta bien planteado es el siguiente....

4+4= 8 ohmios \ 8+8 = 4 ohmios(paralelo) ¿¿ Si el primer resultado lo conectamos en paralelo ( 4+4= 8 + 8+8= 4 ) obtendriamos una impedancia total de 2,66 ohmios ??? ¿¿ Y si lo conectaramos en serie obtendriamos impedancia total de 12 ohmios ?? PERO CLARO,esto kiere decir (en el primer caso por ejmp.2,66 ohm en caso de estar bien ) que el positivo del canal A de la etapa de Potencia va al positivo de la primera impedancia y el negativo del canal B va al negativo de la segunda impedancia verdad ? ¿ o seria el positivo del canal A y el negativo del canal B ? ¿ alguien tiene un esquema de serie- paralelo,paralelo-serie ?
Nico Suárez
por el 11/01/2010
A ver, a mi no me parece tan complicado...

Olvídate de trucos y usa tu calculadora y estas dos fórmulas.

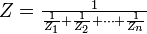
Para paralelo:
f768c3450f16f2078a2363c7dc4a1-2348782.png

Para serie:
f74c8b2498fc810d9813b42ca6337-2348782.png

Si te encuentras un serie/paralelo, divídelo y resuélvelo por partes usando esas mismas dos.
Harpocrates666
por el 11/01/2010
El primer resultado esta bien, el segundo no tengo idea por que no te entendi nada :mrgreen:
Harpocrates666
por el 11/01/2010
"nsvsonido" escribió:
A ver, a mi no me parece tan complicado...

Olvídate de trucos y usa tu calculadora y estas dos fórmulas.

Para paralelo:
f768c3450f16f2078a2363c7dc4a1-2348782.png

Para serie:
f74c8b2498fc810d9813b42ca6337-2348782.png

Si te encuentras un serie/paralelo, divídelo y resuélvelo por partes usando esas mismas dos.


Creo que su intension no es saber como calcular impedancias, si no entender como se comportan, cuales son los trucos que dices?
Nico Suárez
por el 11/01/2010
Lo de dos iguales causan la mitad, etc...

Para saber cómo se comporta ese circuito http://es.wikipedia.org/wiki/Ley_de_Ohm
daser
por el 05/02/2014
Amigos sou medio nuevo en esto, solicito ayuda en como conectar mis altavoces a mi amplificador qsc pl380, los altavoces los tengo conectados a 4 ohmios (2 parlantes en cada cajas "4 clon") y en un pequeño evento no respondieron a mi gusto, ahora pense conectarlos a 2 ohm en monobridge o sorpresa me doy cuenta que en las especificaciones del amplificador en bridge te da 8000 wats a 4 hmos ahora, ahora no se como conectarlos en bridgue mis 8 altavoces de 1400 wts de 8omhs a 4 ohms para mi amplificador
Nuevo post

Regístrate o para poder postear en este hilo

Música
Temas