Network Marketing Multinivel: ganar dinero en internet

Tony (Scorpmusic)
por el 12/08/2009
Pablogic escribió:

A mi tambien me da esa sensación, y yo no pordría meterme en ese tipo de negocios por que no me va ese rollo de ir intentando captar gente. Dándoles la brasa de lo bueno que es, y los famosos que lo usan. [-X


Entonces no puedes trabajar de relaciones públicas. No podrias estar detras de una barra atendiendo al público, no podrias trabajar en un mercado donde la gente mira la mercancia y no se decide a comprar... Y como esto, no podrias hacer tantas cosas relacionadas con la labor de captar gente....
Sin embargo, en esto hablas ante todo con gente que conoces. Se empieza precisamente por ahi porque es sabido que todo el mundo no tiene tablas para este tipo de negocios. De hecho muchos de los fracasos son por eso....y conforme el que deja de ir al gimnasio se llena de razones para que la culpa caiga donde sea menos donde toca, los que fracasan con el multinivel culpan directamente al multinivel sin pensarselo dos veces...Es lo más comodo.
"Dar la brasa"....es logico si quieres captar gente.... Si no haces eso no captas gente....si no captas gente no funciona esto a lo que quieres dedicar...y para que estar si no funciona....!!??
OFERTAS EN TIENDAS Ver todas
  • -31%
    Behringer X-Touch Compact
    222 €
    Ver oferta
  • -26%
    Moog Messenger
    699 €
    Ver oferta
  • -35%
    Behringer X32 Producer
    969 €
    Ver oferta
SEGUNDA MANO EN MERCASONIC Ver todo
  • Maletín rígido Thomann (uso libre ó a medida para Behringer Xenyx 1202)
    25 €
    Ver
  • TC Helicon VoiceLive Touch 2 - Procesador Vocal y Looper Profesional
    350 €
    Ver
  • dbx Project 1 model 274 expander/gate
    65 €
    Ver
¿Tienes equipo que ya no usas? Véndelo en Mercasonic
Tony (Scorpmusic)
por el 12/08/2009
"Llon" escribió:

Esto es una piramide como la copa de un pino.



En una pirámide sólo se maneja dinero y siempre ganan más los que están arriba.
En un Multinivel en cambio se ofrecen productos o servicios para que estos sean consumidos o vendidos y así obtener ganancias reales, en cualquier multinivel los que están abajo pueden ganar más que los que están arriba, ya que depende del esfuerzo y trabajo de cada persona.
La diferencia entre un sistema multinivel y un sistema piramidal es que en el sistema piramidal cuando una persona registra a otra persona, la persona que le ha registrado obtiene beneficios en ese registro, beneficios que, además, son en forma de dinero negro, sin impuestos.
En cambio, en el sistema multinivel no se obtiene beneficios por el registro de personas, sino que sólo se obtiene beneficios cuando esas personas registradas realizan ventas, en las cuales se incluyen todos los impuestos.
Tony (Scorpmusic)
por el 12/08/2009
Hay varias formas de distribuir, y por tanto de vender bienes y servicios.

VENTA AL POR MENOR
La pequeña tienda, los grandes almacenes, el supermercado. Todos ellos disponen de artículos; el público entra en la tienda y compra.

[attachment=2:3f7ticaf]VENTA AL POR MAYOR_.jpg[/attachment:3f7ticaf]

MFG: Fabricante
V: Vendedor al por mayor
G y p: Grandes y pequeños vendedores.
Público
________________________________________________________________________
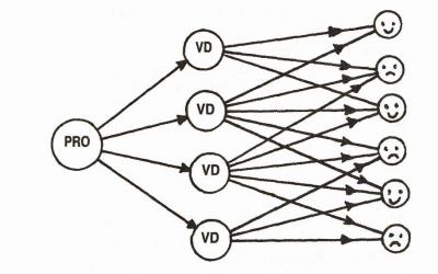
VENTA DIRECTA
Habitualmente, supone que un vendedor esperanzado establece un contacto no solicitado, buscando la oportunidad para visitar a su cliente potencial con el objetivo de presentarle su producto o servicio.

[attachment=1:3f7ticaf]VENTA DIRECTA.jpg[/attachment:3f7ticaf]
PRO: Productor
VD: Vendedor directo.
Público
________________________________________________________________________
TELEVENTA
Es tambien un intento no solicitado por vender bienes o servicios por teléfono.

[attachment=0:3f7ticaf]VENTA TELEFONICA DIRECTA_editado-1.jpg[/attachment:3f7ticaf]

PRO: Productor
BT: Llamadas telefónicas directas.
Público
Archivos adjuntos ( para descargar)
VENTA AL POR MAYOR_.jpg
VENTA DIRECTA.jpg
VENTA TELEFONICA DIRECTA_editado-1.jpg
Tony (Scorpmusic)
por el 12/08/2009
VENTA POR CORRÉO
Se consigue mediante publicidad y la respuesta del "cupón recortable", o bien mediante la distribución de un catálogo.

[attachment=1:1xa22c0v]VENTA PUBLICIDAD CORREOS ENVIO DE CATÁLOGOS_editado-1.jpg[/attachment:1xa22c0v]

PRO: Productor
Publicidad. corréo directo, envio de catálogos.
Público
___________________________________________________________
MARKETING MULTINIVEL
Se confunde a menudo con la venta directa, pero veremos, hay diferencias considerables.

[attachment=0:1xa22c0v]MULTINIVEL.jpg[/attachment:1xa22c0v]
PROD: Productor.
DIST: Distribuidores, distribuidores, distribuidores,etc.
Las ventas al público se efectúan, a todos los niveles, al mismo precio.
Archivos adjuntos ( para descargar)
VENTA PUBLICIDAD CORREOS ENVIO DE CATÁLOGOS_editado-1.jpg
MULTINIVEL.jpg
Prong
por el 12/08/2009
Imaginoq ue habars escuchado esta sfrases scorpmusic, vaya mierda dodne os habeis metido, os van amangar el dineor, se estan riendo d evosotros, pobres tontinos habeis caido en eso.
Es ver dad no hayq ue desesperarse, yo llevo 4 meses en uno y solo tengo2 afiliados, que ya es dinero extra, lo unico malo es que tardan en darte la tarjeta, epro funciona, y de aqui a diciembre estare viviendo tranquilamente dle multinivel, sin esforzarme demasiado.
1 respuesta directa
Pablogic
por el 13/08/2009
"El coste mensual de este dominio es de 10 dólares (6 o 7 € mensuales) y por conseguir 5 afiliados en una semana, ganas 100 € en esa semana"

"En cambio, en el sistema multinivel no se obtiene beneficios por el registro de personas, sino que sólo se obtiene beneficios cuando esas personas registradas realizan ventas, en las cuales se incluyen todos los impuestos."

No lo entiendo entonces... :?
1 respuesta directa
Pablogic
por el 13/08/2009
"ScorpMusic" escribió:
"Pablogic" escribió:

A mi tambien me da esa sensación, y yo no pordría meterme en ese tipo de negocios por que no me va ese rollo de ir intentando captar gente. Dándoles la brasa de lo bueno que es, y los famosos que lo usan. [-X


Entonces no puedes trabajar de relaciones públicas. No podrias estar detras de una barra atendiendo al público, no podrias trabajar en un mercado donde la gente mira la mercancia y no se decide a comprar... Y como esto, no podrias hacer tantas cosas relacionadas con la labor de captar gente....
Sin embargo, en esto hablas ante todo con gente que conoces. Se empieza precisamente por ahi porque es sabido que todo el mundo no tiene tablas para este tipo de negocios. De hecho muchos de los fracasos son por eso....y conforme el que deja de ir al gimnasio se llena de razones para que la culpa caiga donde sea menos donde toca, los que fracasan con el multinivel culpan directamente al multinivel sin pensarselo dos veces...Es lo más comodo.
"Dar la brasa"....es logico si quieres captar gente.... Si no haces eso no captas gente....si no captas gente no funciona esto a lo que quieres dedicar...y para que estar si no funciona....!!??



Por poder puedo, llevo 12 años currando cara al público :)
1 respuesta directa
Soyuz mod
por el 13/08/2009
Pagar 7 euros al mes por un dominio .ws es un poco disparatado. Un dominio .com, de mucha mayor calidad y prestigio, cuesta poco más que eso por todo un año. Si esa es la base del negocio, empezamos fatal: el producto no es nada atractivo. O quizá no sea esa la base del negocio, sino captar "afiliados", que a su vez necesitan captar otros afiliados para nutrirse de sus cuotas, y estos últimos necesitan captar otros tantos afiliados...

611c1a6840156bbf43416d8b9419c-2156012.jpg
Real_Kcan
por el 13/08/2009
eee.... ee.... :-$
Teo Tormo
por el 13/08/2009
Concretamente, el coste de un dominio .ws en un registrador normal es de unos 19.99 euros al año. Scorp Music ha comentado que le cobran unos 6 euros al mes... o sea 72 euros al año.... Vamos que la empresa solo con la gente que se da de alta en la movida directamente saca 52 euros por cada uno.
Visto esto, la manera en que la empresa GDI (a la que se ha afiliado Scorp Music) gana la pasta y reparte beneficios es fácil de entender, aunque ahora lo voy a explicar por si alguien no lo pilla:

Basicamente cosiste en que esta empresa vende dominios .ws , y prescinden totalmente de departamente comercial, ya que el departamento comercial son los propios clientes, como Scorp Music. Tu compras un dominio a precio exorbitado y haces que la compañía gane 52 euros. Si a través de tu dominio haces que otros se afilien y compren también su dominio .ws , te llevas una comisión. Por ejemplo, por ejemplo si afilias 10 te dan 200 dólares... normal, la empresa realmente ha ganado más de el doble!!! veamos, 10x52 euros=520 , que actualmente al cambio son 739 dólares, la empresa te 200 dólares de comisión y ellos ganan 539 dólares. Toma castaña.
Recapitulemos, por si alguien se ha perdido, te venden un producto absurdo (quien coño quiere un dominio .ws) a un precio exagerado (más de el triple de su coste real) y si haces que otros compren la misma chorrada, te dan algo menos de la cuarta parte de lo que ellos ganan.
Vale, en un principio tu puedes ganar dinero, pero ... hay que tener en cuenta que los que compran después que tu también pueden ganar dinero porque ellos también venden... cuanto más vendas más rápido se saturará el mercado porque todos los compradores se vuelven vendedores (es lo único que pueden hacer con ese absurdo producto) así que en breve dejarás de ganar dinero porque rápidamente todos los posibles compradores de dominios .ws ya habrán adquirido el suyo. Seguramente poco después la empresa desaparecerá o se convertirá en otra empresa que vende otro producto absurdo a precio exagerado. Para adornar todo el asunto y hacer que parezca bonito se le añade todo el rollo de mercadotecnia del todo a 100 y teorías económicas de parvulario.
Hay gente que se mete simultaneamente en 4 o 5 empresas de estas y va saltando de una a otra según se agota el mercado potencial del producto absurdo y la empresa desaparece. Son expertos en estos asuntos, y al final incluso acaban montando sus propias empresas porque acaban buscando o creando esos productos absurdos a precios exagerados. El precio siempre debe ser exagerado para que deje un margen óptimo y puedas además dejar una comisión interesante al que está por debajo. Para que la gente no note que el precio es exagerado y el producto absurdo se recurre (y espero no ofender demasiado a nadie) a gente de nivel cultural bajo o con experiencias vitales limitadas, preferiblemente con apuro económico.
¿Es esto ilegal? Bueno, en la ley de oferta y demanda puedes vender cualquier producto a cualquier precio, otra cosa es que moralmente sea reprobable. Está claro que estas empresas desaparecen rápido cuando agotan los compradores potenciales, algo que se acelera exponencialmente cuanto más venedes, así que moralmente es reprobable el gancho que gastan de "dinero para toda la vida".
Y no me enrollo más que es muy tarde. Espero que os haya gustado la lección.
Pablogic
por el 13/08/2009
Si! Buena lección :D
undercore
por el 13/08/2009
Bravo bravoooooooooo =d> =d> =d> =d> =d> =d> =d> =d>
John
por el 13/08/2009
"altcala" escribió:
Concretamente, el coste de un dominio .ws en un registrador normal es de unos 19.99 euros al año. Scorp Music ha comentado que le cobran unos 6 euros al mes... o sea 72 euros al año.... Vamos que la empresa solo con la gente que se da de alta en la movida directamente saca 52 euros por cada uno.
Visto esto, la manera en que la empresa GDI (a la que se ha afiliado Scorp Music) gana la pasta y reparte beneficios es fácil de entender, aunque ahora lo voy a explicar por si alguien no lo pilla:

Basicamente cosiste en que esta empresa vende dominios .ws , y prescinden totalmente de departamente comercial, ya que el departamento comercial son los propios clientes, como Scorp Music. Tu compras un dominio a precio exorbitado y haces que la compañía gane 52 euros. Si a través de tu dominio haces que otros se afilien y compren también su dominio .ws , te llevas una comisión. Por ejemplo, por ejemplo si afilias 10 te dan 200 dólares... normal, la empresa realmente ha ganado más de el doble!!! veamos, 10x52 euros=520 , que actualmente al cambio son 739 dólares, la empresa te 200 dólares de comisión y ellos ganan 539 dólares. Toma castaña.
Recapitulemos, por si alguien se ha perdido, te venden un producto absurdo (quien coño quiere un dominio .ws) a un precio exagerado (más de el triple de su coste real) y si haces que otros compren la misma chorrada, te dan algo menos de la cuarta parte de lo que ellos ganan.
Vale, en un principio tu puedes ganar dinero, pero ... hay que tener en cuenta que los que compran después que tu también pueden ganar dinero porque ellos también venden... cuanto más vendas más rápido se saturará el mercado porque todos los compradores se vuelven vendedores (es lo único que pueden hacer con ese absurdo producto) así que en breve dejarás de ganar dinero porque rápidamente todos los posibles compradores de dominios .ws ya habrán adquirido el suyo. Seguramente poco después la empresa desaparecerá o se convertirá en otra empresa que vende otro producto absurdo a precio exagerado. Para adornar todo el asunto y hacer que parezca bonito se le añade todo el rollo de mercadotecnia del todo a 100 y teorías económicas de parvulario.
Hay gente que se mete simultaneamente en 4 o 5 empresas de estas y va saltando de una a otra según se agota el mercado potencial del producto absurdo y la empresa desaparece. Son expertos en estos asuntos, y al final incluso acaban montando sus propias empresas porque acaban buscando o creando esos productos absurdos a precios exagerados. El precio siempre debe ser exagerado para que deje un margen óptimo y puedas además dejar una comisión interesante al que está por debajo. Para que la gente no note que el precio es exagerado y el producto absurdo se recurre (y espero no ofender demasiado a nadie) a gente de nivel cultural bajo o con experiencias vitales limitadas, preferiblemente con apuro económico.
¿Es esto ilegal? Bueno, en la ley de oferta y demanda puedes vender cualquier producto a cualquier precio, otra cosa es que moralmente sea reprobable. Está claro que estas empresas desaparecen rápido cuando agotan los compradores potenciales, algo que se acelera exponencialmente cuanto más venedes, así que moralmente es reprobable el gancho que gastan de "dinero para toda la vida".
Y no me enrollo más que es muy tarde. Espero que os haya gustado la lección.


Olé

Cristalino

=D>
John
por el 13/08/2009
"ScorpMusic" escribió:
"Llon" escribió:

Esto es una piramide como la copa de un pino.


En cambio, en el sistema multinivel no se obtiene beneficios por el registro de personas, sino que sólo se obtiene beneficios cuando esas personas registradas realizan ventas, en las cuales se incluyen todos los impuestos.


Te contradices, en este mismo hilo has dicho antes:

ScorpMusic escribió:
Al concluir la semana pagas unos 7 € mensuales, pero sabes (porque te has enterado antes de entrar) que por hacer la promocion de dominios webs y afiliar gente, vas a tener una compensación. Incluso hay la opcion de que por cinco personas que afilias en una semana ganas 100 dólares (unos 70 €) de modo que como las personas que tú afilias quieren tambien ganar dinero, haran lo mismo que tú, que tambien ganarás un porciento por esos que afilien los que tú afiliaste.


Dale las vueltas que quieras pero es una estructura piramidal.
Pablogic
por el 13/08/2009
Es lo que yo he querido decir antes, por eso decía que no lo entendia.
Creo que él tampoco se ha enterado bien de como funciona el fantástico negocio.
1 respuesta directa
Nuevo post

Regístrate o para poder postear en este hilo

Música
Temas